27考研数学必背公式:多元函数的几何应用
成都网易有道考研为大家整理了“27考研数学必背公式:多元函数的几何应用”的相关信息,希望对正在进行考研备考的你有所帮助。随着考研越来越卷,报录比、国家线也在大幅提升,如何才能考上理想院校?网易有道考研集训营采用封闭式、全日制、寄宿制的小班授课模式,全程大咖讲师面授,面对面答疑解惑,一起来关注一下吧~
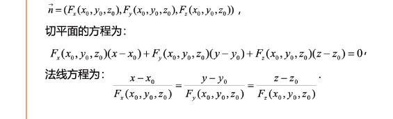
考研数学公式:多元函数的几何应用





免责声明:本站所提供的内容部分来源于网络搜集整理,由本站编辑上传,仅供个人研究、交流学习使用,不涉及商业盈利目的。如涉及版权问题,请联系本站管理员予以更改或删除。
关键字: 考研 成都考研机构 有道考研
【责任编辑:有道考研】
- 最新更新
- 推荐阅读
- 2027考研条件及考研考试考场规则2026-01-12
- 2026年考研调剂服务系统开通时间公布2026-01-12
- 四川成都考研专业课辅导哪个靠谱2026-01-12
- 四川成都计算机考研培训班推荐2026-01-12
- 成都考研集训营地址2026-01-12
- 四川成都考研电子信息培训课程2026-01-12
- 27考研什么时候开始复习?2026-01-12
- 27考研新大纲增加了哪些内容?2026-01-12
- 想要高分学长考研笔记资料包2026-01-12
- 想跨考怎么选择专业院校?2026-01-12
- 27考研各种班型的价格及优惠2026-01-12
- 四六级没过,影响考研吗?2026-01-12




