-
27考研数学公式:乘法公式与因式分解
考研数学公式:乘法公式与因式分解 2026-01-06 -
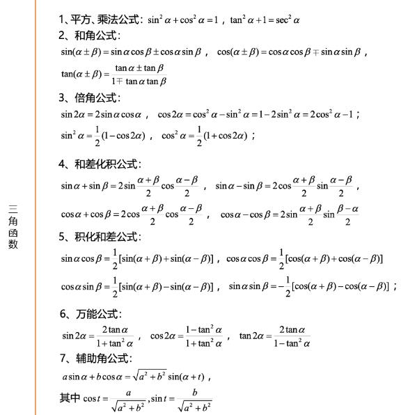
27考研数学公式:三角函数
考研数学公式:三角函数 2026-01-06 -
2027考研数学公式:极限存在准则
考研数学公式:极限存在准则 2026-01-06 -
2023年考研数学一真题下载
2023年考研数学一真题.pdf 2025-11-29 -
2022年考研数学一真题下载
2022年考研数学一真题.pdf 2025-11-29 -
2021年考研数学一真题下载
2021年考研数学一真题.pdf 2025-11-29 -
2020年考研数学一真题下载
2020年考研数学一真题.pdf 2025-11-29 -
2019年考研数学一真题下载
2019年考研数学一真题.pdf 2025-11-29 -
2018年考研数学一真题下载
2018年考研数学一真题.pdf 2025-11-29 -
2017年考研数学一真题下载
2017年考研数学一真题.pdf 2025-11-29




