-
27考研数学必背公式:曲线的凹凸性与拐点
考研数学公式:曲线的凹凸性与拐点 2026-01-08 -
27考研数学必背公式:极值和单调性的判断
考研数学公式:极值和单调性的判断 2026-01-08 -
27考研数学必背公式:洛必达法则
考研数学公式:洛必达法则 2026-01-08 -
27考研数学必背公式:麦克劳林公式
考研数学公式:麦克劳林公式 2026-01-08 -
27考研数学必背公式:中值定律
考研数学公式:中值定律 2026-01-08 -
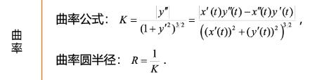
27考研数学必背公式:曲率
考研数学公式:曲率 2026-01-08 -
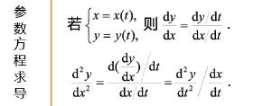
27考研数学必背公式:参数方程求导
考研数学公式:参数方程求导 2026-01-08 -
27考研数学必背公式:微分的定义及公式
考研数学公式:微分的定义及公式 2026-01-08 -
27考研数学必背公式:变现积分函数求导
考研数学公式:变现积分函数求导 2026-01-08 -
27考研数学必背公式:反函数求导
考研数学公式:反函数求导 2026-01-08




